Funções gráficos propriedades
e aplicações:
Colocação do problema:
Utilidade das funções.
Informação do Censo dos USA:
O seguinte conjunto de dados é fornecido pelo censo americano:
> pop:=[3.929214, 5.308483, 7.239881,
9.638453, 12.866020, 17.069453,
23.191876, 31.433321, 39.818449, 50.155783,
62.947714,
75.994575, 91.972266, 105.710620, 122.775046,
131.669275,
151.325798, 179.323175, 203.302031, 226.545805,
248.709873];
Podemos organizar estes dados como uma coleção de pontos com o tempo no eixo horizontal e a população no eixo vertical, observando que o primeiro dado se refere ao ano de 1790 e que o intervalo de cada censo é de 10 anos.
> tt:=[seq(i*10,i=0..20)]:
Poppts:=[seq([tt[i]+1790,pop[i]],i=1..21)];
E agora nós fazemos um gráfico destes pontos:
> plot(Poppts,style=POINT);

Problema1
Como podemos aproximar este conjunto
de dados por uma função suave?.
Uma função suave ajustando os dados:
A seguinte função fornece um ajuste suave para os dados acima. Ela e conhecida como o ajuste Logistico para os dados populacionais.
> P:=t->387.9580209/(1+54.08120241*exp(-0.02270347336*(t-1790)));
![[Maple Math]](../images/Mod113.gif)
Para vermos quão boa é tal aproximação nós desenhamos simultaneamente os dois gráficos.
> J:=plot(Poppts,style=POINT):
K:=plot(P(t),t=1790..1990):
> plots[display]({J,K});

Problema 2
Em que ano a população
americana estava crescendo mais rapidamente?
Ano de crescimento mais rapido da população:
Usamos a aproximação obtida e procuramos o máximo da derivada desta função. Para tal encontramos o ponto onde a segunda derivada é zero.
> T:=solve((D@@2)(P)(t)=0,t);
A resposta sugere o ano correto, no entanto o
ano não pode ser fracionário e teremos que interpretar.
Definição:
Exemplos:
Exemplo1. A regra que associa a idade de cada aluno na sala é uma função.
Exemplo 2. A seguinte equação matemática
determina uma função.
> f:=x->2*x-1:
> plot(f(x),x=0..10);

Definição: Uma função de uma conjunto A em conjunto B é uma regra que associa a cada elemento do conjunto A um unico elemento do conjunto B. A denomina-se domínio da função.
Usualmente denotamos uma função
pela letra
e escrevemos
para denotar o valor que a função associa
ao ponto
.
Exemplos:
As funções que normalmente trabalharemos
são funções numéricas, isto é aquelas
para as quais os conjuntos A e B da definição são
subconjuntos dos números reais
. E são definidas por expressoes matemáticas
como as abaixo ainda que não seja o modo preciso de se referir a uma função
pois não há na definição a especificação dos
conjuntos A e B. A se denomina domínio de f e B contradomínio
de f .
> f1:=x->x^3-6*x+6;
> f2:=x->sqrt(x-2);
> f3:=t->1/(t^2-t-2);
![[Maple Math]](../images/Mod124.gif)
> f4:=x->x^2-4*x+1;
Exercício 1:
Encontre os domínios das funções
definidas acima.
Exercício 2:
Os custos de uma indústria de bens usualmente
consiste de dois tipos. Os custos fixos e os custos variáveis. Se
uma fábrica de bicicletas tem custo fixo de $500 por semana e custo
variável de $30 por bicicleta, encontre uma equação
para o custo total na produção de
bicicletas por semana.
Exercício 3:
Suponhamos que a fábrica do exemplo anterior
venda suas bicicletas por $80 cada.Encontre a função ganho
associada com a variavel
.
Exercício 4:
A fábrica de bicicletas quer ter lucro
naturalmente. Encontre a função lucro como função
de
. Determine os valores
para os quais
é positiva.
Gráfico de funções:
O gráfico de uma função é
o desenho no plano cartesiano XY dos pontos do domínio e seus correspondentes
valores associados pela função dada. Normalmente especificamos
uma parte do domínio da função dada quando queremos
desenhar o gráfico.
Exemplos: Vamos plotar os gráficos das funções que selecionamos mais acima.
Exemplo 2:
Exemplo 3:
> L:={solve(t^2-t-2=0)};
> plot(f3(x),x=2..10);

Exemplo 4:
> plot(f4(x),x=-40..40);

Exemplo 5:
> f5:=x->abs(x^3-4*x-3):
Potências:
onde n denota um número natural.
> with(plots):
> p1:=plot(x^2,x=-1..1,color=blue):
> p2:=plot(x^3,x=-1..1,color=gold):p3:=plot(x^3,x=-1..1,color=red):
> p4:=plot(x^4,x=-1..1,color=black):p5:=plot(x^5,x=-1..1,color=brown):
> display({p1,p2,p3,p4,p5},title=`Potências`):
Funções Racionais:
onde P(x) e Q(x) são polinomios.
> r:=x-> x/(x-2):
> plot(r(x),x=1..3,y=-10..10):
Potências generalizadas :
onde r denota um número racional.
Definições fundamentais:
a)
sinificando x . x . x . . . x (n fatores):
b)
significando
sempre que x é diferente de zero.
c)
significando
com
se n é par.
d)
significando
.
e)
significando 1 sempre que x é diferente de
zero.
Exemplo :
> plot(x^(1/3),x=1..100):
> plot(x^(-3/2),x=1..10):
Zeros de funções:
É um problema bastante usual a determinação
dos intervalos onde uma dada função é positiva ou
negativa isto é onde
tem o mesmo sinal. Para tal precisamos saber os pontos
onde as funções assumem o valor zero. Para o nosso interesse
agora usaremos o seguinte princípio:se a expressão de
puder ser fatorada em vários produtos então
os zeros de
são os zeros dos fatores separadamente.
Exemplo1:
Encontre os zeros de
.
Observe que podemos escrever
. Logo os zeros de cada fator sao
e
. Segue pelo argumento acima que os zeros de
sao
. Veja pelo gráfico que nosso resultado está
correto.
> plot(x^2-3*x-4,x=-2..5):
Exercício 2:
Um fábricante de ar condicionado sabe que
o custo total em produzir x unidades por semana e de
reais. Se o fábricante pode vender cada unidade
por
reais, quais são os valores de produção
que correspondem a ter lucro.
Aplicação a economia : Funções demanda e oferta .
Sob certas condições de mercado
o preco de venda de um produto determina o número de itens que os
consumidores irão comprar em certa unidade de tempo. Se denotamos
por
o número de itens que serão vendidos
ao preco
durante o intervalo de tempo
Então
se chama a função demanda.
A propriedade fundamental que regula esta função
e que precos altos correspondem a procura baixa., chamada lei da
demanda.
Similarmente, a função que associa
o número de itens que os consumidores vao comprar com preco
por unidade de tempo se chama função
oferta e denotamos por
. De modo geral, precos de venda altos correspondem
a altos níveis de oferta. A figura abaixo ilustra os gráficos
de
e
.
> p1:=plot( p^3, p=0.5..2,color=red):
> p2:=plot(1/p^3,p=0.5..2,color=blue):
> with(plots):
> display({p1,p2});

O ponto de interseção dos dois gráficos denomina-se ponto de equilíbrio. Ele indica o preco ideal no qual todo aquele interessado em comprar o produto poderia comprá-lo e não haveria oferta em excesso . O objetivo do mercado é determinar tal ponto.
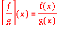
Combinando funções:
operações e composição:
Combinando algebricamente:
Podemos combinar funções conhecidas e obter novas funções usando as operações algébricas.
Definição: Dadas
,
e um número
, as funções
,
,
,
e
sao definidas
pelas seguintes expressoes:
a)
b)
c)
e)
f)
sempre que
é diferente de zero.
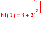
Exemplo:
Sejam
e
. Então
a) Se
calcule
e
. Como
![[Maple Math]](../images/Mod1102.gif)
tem-se
e
.
b) Se
calcule
. Como
![[Maple Math]](../images/Mod1107.gif)
Definição:
Dadas duas funções
e
a função composta
é a função resultado da ação
da função
agindo nos valores da função
. Isto e,
Exemplo 2:
Se
e
determine
.
![[Maple Math]](../images/Mod1118.gif)
Exercício 1 :
Sejam as funções
,
e
. Determine
a)
Exercício 2:
Exercício 3:
Faca o gráfico da função
definida por:
se
e
se
.